91porn

页面
配色
辅助线
重置
当前位置:91porn > 关于我们 > 从业资质证件查询 > 内地与港澳普通货物运输企业查询

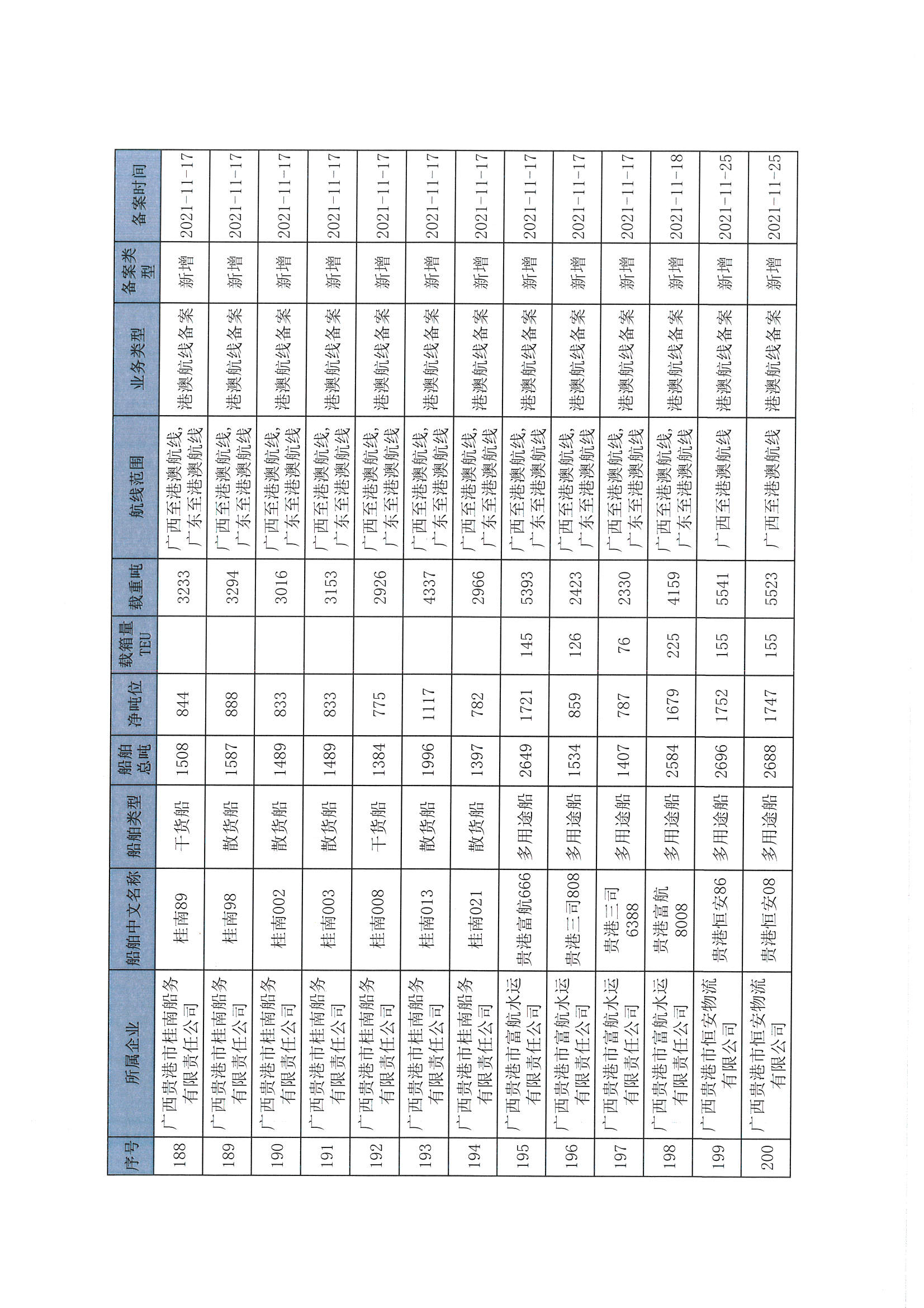
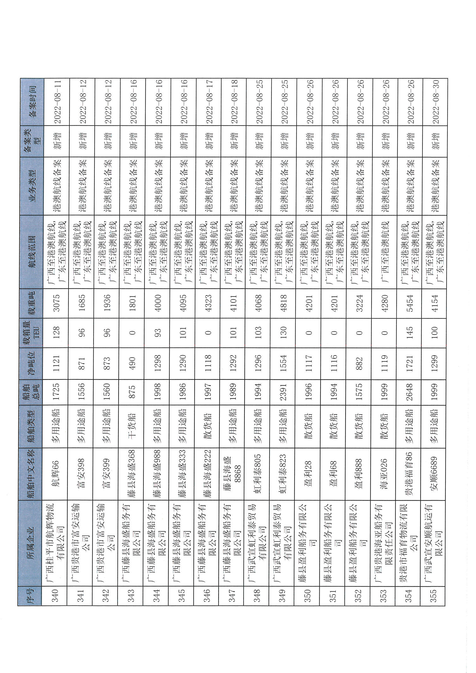
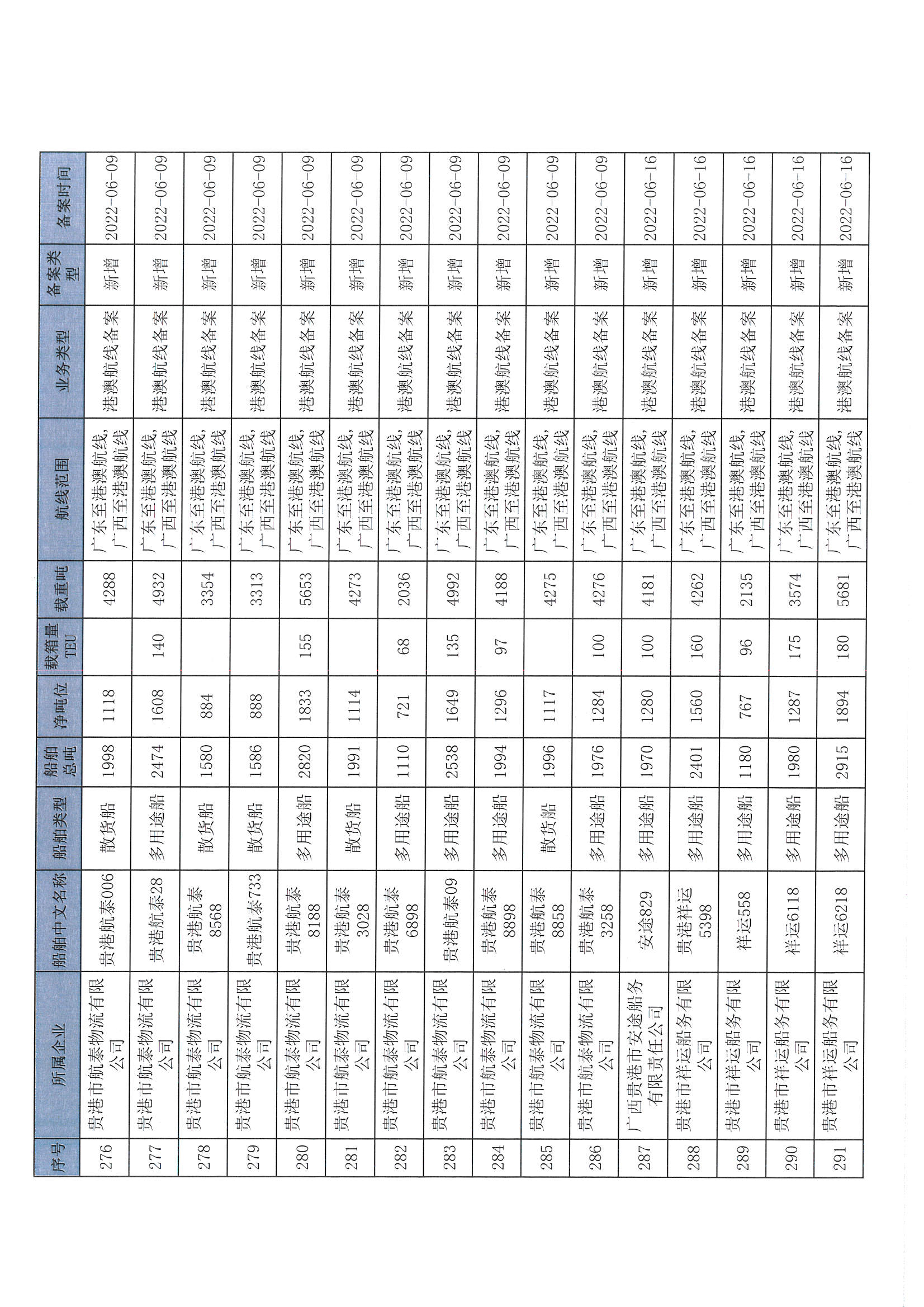
截至2022年12月11日在91porn部水路运输建设综合管理信息系统完成备案的港澳航线水路运输船舶

2022-12-13 09:58     来源:91porn
分享 微信
头条
微博 空间 qq
【字体: 打印


文件下载:

关联文件: