91porn

页面
配色
辅助线
重置

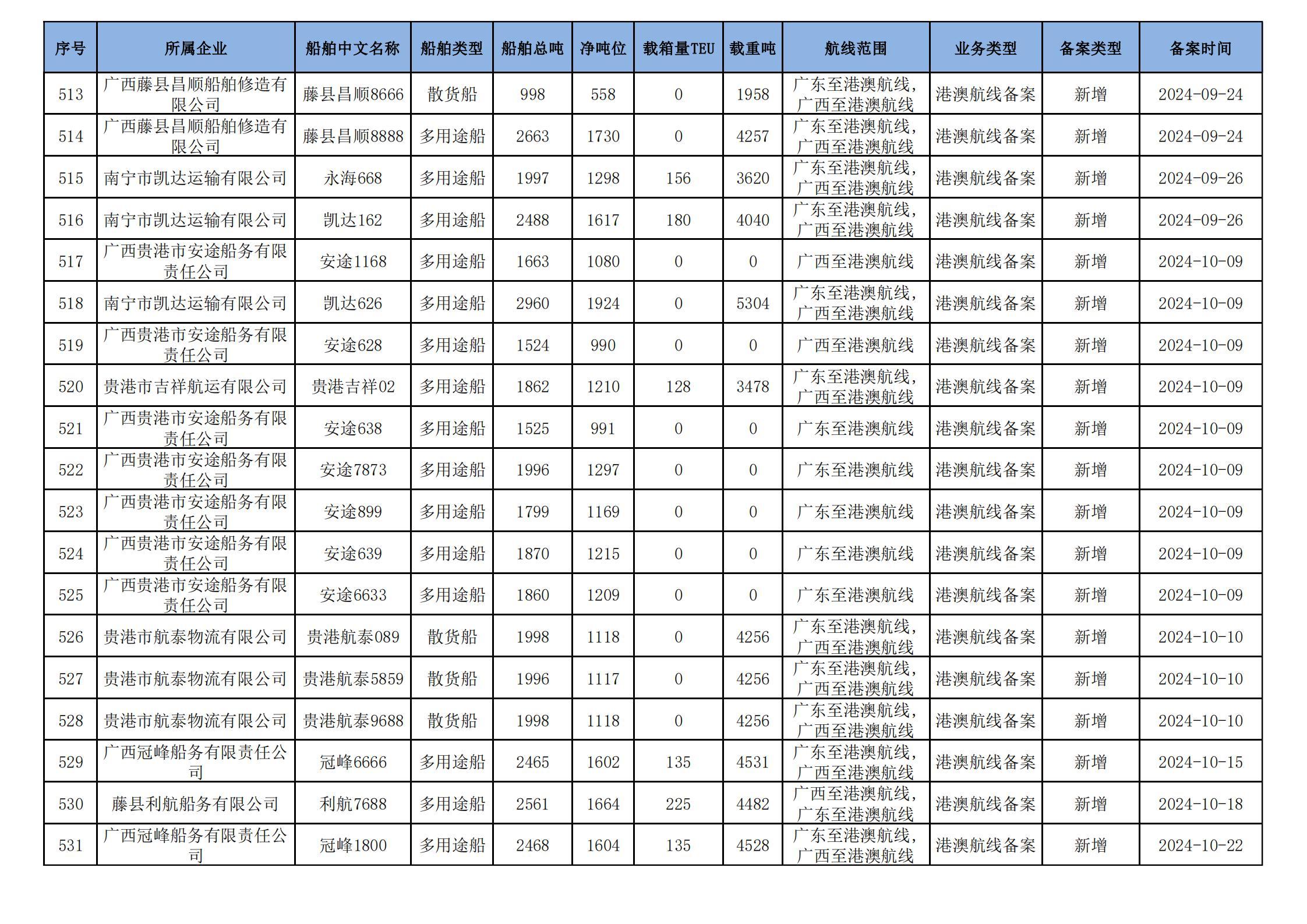
截至2025年4月15日在91porn部水路运输建设综合管理信息系统完成备案的港澳航线水路运输船舶

2025-04-15 16:29     来源:91porn
分享 微信
头条
微博 空间 qq
【字体: 打印


关联文件: