91porn

页面
配色
辅助线
重置
当前位置:91porn > 政府信息公开 > 法定主动公开内容 > 交通统计 > 主要统计指标

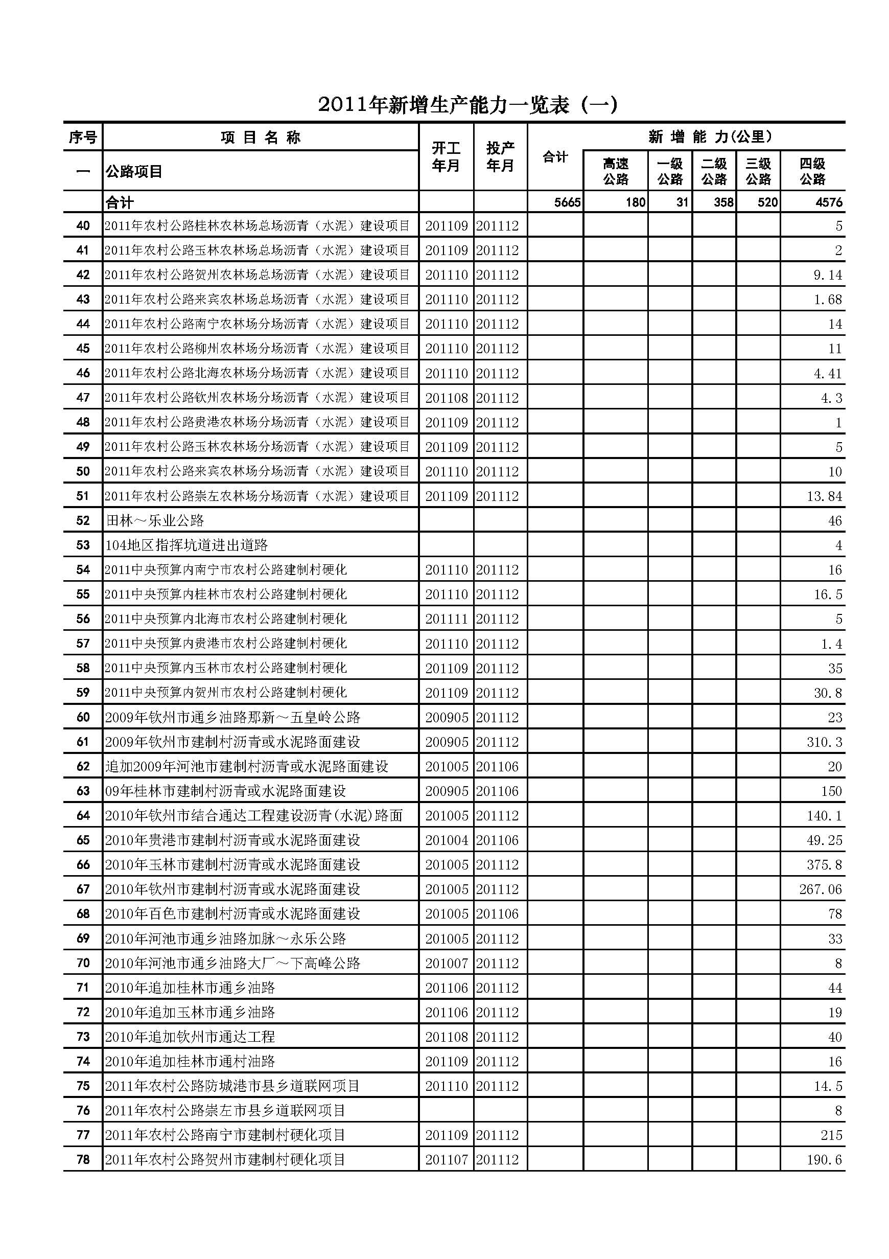
2011年广西交通主要统计指标

2012-03-11 09:29     来源:广西91porn厅政法处
分享 微信
头条
微博 空间 qq
【字体: 打印
















文件下载:

关联文件: